From Normal Equations to Practical Preconditioning
Schools of EAS, CSE, ECE — Georgia Institute of Technology
2026-03-09

Felix J. Herrmann
School of Earth and Ocean Sciences — Georgia Institute of Technology
For each source \(i\), the forward-modeled data are
\[ \mathbf{y}_i = \mathcal{F}[\mathbf{m}]\,\mathbf{q}_i + \boldsymbol{\epsilon} \]
where \(\mathcal{F}[\mathbf{m}] = \mathbf{P}_r\,\mathbf{A}^{-1}[\mathbf{m}]\,\mathbf{P}_s^{\top}\) maps sources to receivers through the wave equation:
\[ \mathbf{A}[\mathbf{m}] = \operatorname{diag}(\mathbf{m})\,\frac{\partial^2}{\partial t^2} - \nabla^2 \]
with squared-slowness model \(\mathbf{m}\) (see Hill and Rüger 2020, Ch. 11).
The full-waveform inversion (FWI) objective is
\[ \min_{\mathbf{m}}\; f(\mathbf{m}) = \sum_{i=1}^{n_s} \|\mathcal{F}[\mathbf{m}]\,\mathbf{q}_i - \mathbf{y}_i\|_2^2 \]
The gradient of the FWI objective evaluated at a smooth background \(\mathbf{m}_0\):
\[ \nabla_{\mathbf{m}} f\big|_{\mathbf{m}_0} = \sum_{i=1}^{n_s} \mathbf{J}_i^{\top}\,\underbrace{\big(\mathcal{F}[\mathbf{m}_0]\,\mathbf{q}_i - \mathbf{y}_i\big)}_{\text{data residual for source } i} \]
Stacking the Jacobians \(\mathbf{F} = [\mathbf{J}_1^{\top}, \ldots, \mathbf{J}_{n_s}^{\top}]^{\top}\) and the residuals \(\mathbf{r}\):
\[ \nabla_{\mathbf{m}} f\big|_{\mathbf{m}_0} = \underbrace{\mathbf{F}^{\top}}_{\text{migration}}\,\mathbf{r} \]
The gradient is computed by migrating the data residual — applying the adjoint Born scattering operator \(\mathbf{F}^{\top}\) in the smooth background \(\mathbf{m}_0\).
Linearizing \(\mathcal{F}[\mathbf{m}]\) around a smooth background \(\mathbf{m}_0\) yields the Jacobian (Born scattering / demigration operator). By the chain rule:
\[ \begin{aligned} \mathbf{J} &= \nabla_{\mathbf{m}}\mathcal{F}[\mathbf{m}_0] \\ &= -\mathbf{P}_r\,\mathbf{A}^{-1}[\mathbf{m}]\,\operatorname{diag}\!\left(\frac{\partial\mathbf{A}[\mathbf{m}]}{\partial\mathbf{m}}\,\mathbf{A}^{-1}[\mathbf{m}]\,\mathbf{P}_s^{\top}\mathbf{q}\right)\Bigg|_{\mathbf{m}_0} \end{aligned} \]
For source \(i\) gives the Born-scattered data:
\[ \delta\mathbf{d}_i = \mathbf{J}_i\,\delta\mathbf{m} \]
Writing \(\mathbf{m}\) for the reflectivity perturbation and stacking over sources, \(\mathbf{F} = [\mathbf{J}_1^{\top}, \ldots, \mathbf{J}_{n_s}^{\top}]^{\top}\):
\[ \mathbf{d} = \mathbf{F}\,\mathbf{m} + \mathbf{n} \]
where \(\mathbf{F}\) is the Born modeling (demigration) operator and \(\mathbf{F}^{\top}\) is migration.
Under the Born (single-scattering) approximation, observed data \(\mathbf{d}\) relates to a reflectivity model \(\mathbf{m}\) via
\[ \mathbf{d} = \mathbf{F}\,\mathbf{m} + \mathbf{n} \]
where
Goal: recover \(\mathbf{m}\) from \(\mathbf{d}\), given a smooth background velocity \(v_0(\mathbf{x})\).
Conventional migration applies the adjoint \(\mathbf{F}^{\top}\) to the data:
\[ \mathbf{m}_{\text{mig}} = \mathbf{F}^{\top}\,\mathbf{d} \]
This is not the inverse. Substituting \(\mathbf{d} = \mathbf{F}\,\mathbf{m}\):
\[ \mathbf{m}_{\text{mig}} = \underbrace{\mathbf{F}^{\top}\mathbf{F}}_{\mathbf{H}}\;\mathbf{m} \]
The migrated image is a blurred version of the true reflectivity, filtered by the Hessian \(\mathbf{H} = \mathbf{F}^{\top}\mathbf{F}\).
Born modeling and adjoint migration workflow. Migration applies the adjoint, not the inverse.
The Hessian \(\mathbf{H} = \mathbf{F}^{\top}\mathbf{F}\) captures the combined effect of:
| Factor | Consequence in image |
|---|---|
| Finite acquisition aperture | Dip-dependent illumination |
| Source/receiver sampling | Acquisition footprint |
| Geometric spreading | Depth-dependent amplitude decay |
| Band-limited source | Finite spatial resolution |
| Velocity structure | Position-dependent blurring |
Undoing these effects \(\Rightarrow\) true-amplitude, high-resolution imaging.
Figures adapted from Hill and Rüger (2020).



RTM applies the adjoint \(\mathbf{F}^{\top}\) producing a blurred image. LS-RTM inverts \(\mathbf{H}\) to recover the true reflectivity with correct amplitudes and resolution (Yao and Jakubowicz 2012).
Figures adapted from Hill and Rüger (2020).



LS-RTM produces an image whose predicted data \(\mathbf{F}\mathbf{m}\) closely matches the observed data \(\mathbf{d}\), confirming that the Hessian has been effectively inverted (Yao and Jakubowicz 2012).


LS-RTM recovers reflector amplitudes beneath the salt body and suppresses migration artifacts (see also Hill and Rüger 2020, Ch. 11).


On field data, LS-RTM produces a higher-resolution image with more balanced amplitudes and reduced acquisition footprint (see also Hill and Rüger 2020).
Setting \(\nabla_{\mathbf{m}} \|\mathbf{d} - \mathbf{F}\mathbf{m}\|_2^2 = 0\) yields the normal equations:
\[ \mathbf{H}\,\mathbf{m} = \mathbf{F}^{\top}\mathbf{F}\,\mathbf{m} = \mathbf{F}^{\top}\,\mathbf{d} \]
Two strategies to solve this:
Data-domain LSM (DDLSM): iteratively minimize \(\|\mathbf{d} - \mathbf{F}\mathbf{m}\|_2^2\) — never form \(\mathbf{H}\) explicitly
Image-domain LSM (IDLSM): approximate \(\mathbf{H}\) (or \(\mathbf{H}^{-1}\)) and solve in the image domain
\[ \min_{\mathbf{m}} \;\frac{1}{2}\|\mathbf{F}\,\mathbf{m} - \mathbf{d}\|_2^2 \]
Solved iteratively via LSQR (Paige and Saunders 1982) — a Krylov method based on Golub–Kahan bidiagonalization:
Each iteration requires:
Benefits:
The Bottleneck
Each LSQR iteration costs application of Jacobian and Jacobian adjoint. Convergence without preconditioning is typically slow ($$20–50+ iterations).
Algorithm: LSQR (Paige and Saunders 1982)
Input: Born operator \(\mathbf{F}\), data \(\mathbf{d}\), max iterations \(K\), tolerance \(\tau\)
Key Property
LSQR minimizes \(\|\mathbf{d} - \mathbf{F}\mathbf{m}\|_2\) monotonically over the Krylov subspace \(\mathcal{K}_k(\mathbf{H}, \mathbf{F}^{\top}\mathbf{d})\). Early termination acts as implicit regularization (Vogel 2002).
The convergence rate of LSQR depends on the singular-value distribution of \(\mathbf{F}\), or equivalently the eigenvalue distribution of \(\mathbf{H}\):
\[ \|\mathbf{m}^{(k)} - \mathbf{m}^{*}\|_{\mathbf{H}} \;\leq\; 2\left(\frac{\sqrt{\kappa}-1}{\sqrt{\kappa}+1}\right)^k \|\mathbf{m}^{(0)} - \mathbf{m}^{*}\|_{\mathbf{H}} \]
The Hessian has enormous dynamic range because of:
\(\Rightarrow\) \(\kappa(\mathbf{H})\) is large \(\Rightarrow\) LSQR converges slowly.
Following Herrmann et al. (2009), we reformulate the system using left and right preconditioners.
Right preconditioning with \(\mathbf{M}_R \approx \mathbf{H}^{1/2}\):
\[ \mathbf{F}\,\mathbf{M}_R^{-1}\,\mathbf{u} \approx \mathbf{d}, \qquad \mathbf{m} := \mathbf{M}_R^{-1}\,\mathbf{u} \]
Combined left + right preconditioning:
\[ \underbrace{\mathbf{M}_L^{-1}\,\mathbf{F}\,\mathbf{M}_R^{-1}}_{\widehat{\mathbf{F}}}\;\mathbf{u} \approx \underbrace{\mathbf{M}_L^{-1}\,\mathbf{d}}_{\widehat{\mathbf{d}}} \]
The migrated and least-squares migrated images are then given by:
\[ \widetilde{\mathbf{m}} = \mathbf{M}_R^{-1}\,\widetilde{\mathbf{u}}, \quad \widetilde{\mathbf{u}} = \widehat{\mathbf{F}}^{\top}\,\widehat{\mathbf{d}} \]
\[ \widetilde{\mathbf{m}}_{LS} = \mathbf{M}_R^{-1}\,\widetilde{\mathbf{u}}_{LS}, \quad \widetilde{\mathbf{u}}_{LS} = \arg\min_{\mathbf{u}} \|\widehat{\mathbf{d}} - \widehat{\mathbf{F}}\,\mathbf{u}\|_2 \]
Our preconditioners are derived from three observations (Herrmann et al. 2009):
These observations define a series of increasingly accurate approximations to \(\mathbf{H}^{1/2}\), yielding better preconditioners.
The simplest diagonal approximation uses illumination maps.
Under high-frequency asymptotics and infinite-aperture assumptions, the Hessian is approximately diagonal:
\[ \mathbf{H} \approx \operatorname{diag}(\mathbf{h}), \quad h(\mathbf{x}) = \sum_s \int |\hat{G}_s(\mathbf{x}, \omega)|^2\, d\omega \]
The preconditioner is then the reciprocal illumination:
\[ P_{\text{illum}}(\mathbf{x}) = \frac{1}{h(\mathbf{x}) + \epsilon} \]
What it fixes:
What remains:
\(\Rightarrow\) Need phase-space corrections that account for both position and dip/angle simultaneously.
Following Herrmann et al. (2009), the key insight is that the Hessian is nearly diagonal in the curvelet domain.
A pseudodifferential operator (\(\Psi\)DO) has the general form:
\[ (\Psi f)(x) \simeq \int e^{j\xi \cdot x}\, a(x, \xi)\, \hat{f}(\xi)\, d\xi \]
where \(a(x, \xi)\) is the symbol — a space- and spatial-frequency-dependent filter. This is simply a non-stationary convolution: the kernel varies with position.
Curvelets are localized in both space and dip (angle) — they live in phase space and are the natural domain to capture the anisotropic blurring of the Hessian.
Theorem (Candès and Demanet 2005): Under the action of the normal operator \(\mathbf{H}\), curvelets remain approximately invariant — they are only rescaled, with corrections that decay at finer scales.
(a) Curvelet atoms in the physical domain at various scales, positions, and orientations. (b) Curvelet tiling of the 2D frequency plane showing dyadic scales with angular wedges obeying parabolic scaling (Herrmann, Moghaddam, and Stolk 2008).
Curvelets form a tight frame for \(L^2(\mathbb{R}^2)\) (Herrmann, Moghaddam, and Stolk 2008):
\[ \mathbf{C}^{\top}\mathbf{C} = \mathbf{I} \qquad \text{(analysis followed by synthesis = identity)} \]
but \(\mathbf{C}\,\mathbf{C}^{\top} \neq \mathbf{I}\) because the system is redundant (more curvelet coefficients than image pixels).
Parabolic scaling: curvelet atoms at scale \(2^{-j}\) satisfy
\[ \text{width} \sim 2^{-j}, \quad \text{length} \sim 2^{-j/2} \qquad \Longrightarrow \quad \text{width} \approx \text{length}^2 \]
This anisotropic scaling matches the geometry of wavefronts and \(C^2\)-smooth singularity curves.
Nonlinear approximation: for piecewise smooth functions with singularities along \(C^2\) curves, the best \(N\)-term curvelet approximation \(f_N\) satisfies (Candès and Demanet 2005):
\[ \|f - f_N\|_2^2 = O\!\left(N^{-2}\,(\log N)^3\right) \]
This is near-optimal — wavelets only achieve \(O(N^{-1})\) for the same function class, because they lack directional selectivity.



Retaining only 3% of curvelet coefficients captures the essential structure of a migrated seismic image. The residual after keeping 99% of coefficients is negligible, confirming the near-optimal \(O(N^{-2}(\log N)^3)\) approximation rate (Herrmann, Moghaddam, and Stolk 2008).
Herrmann et al. (2009) propose a cascade of three corrections:
| Level | Correction | Domain |
|---|---|---|
| I | Order of migration operator (\(|\omega|\) scaling) | Fourier domain |
| II | Geometric spreading (depth correction) | Physical domain |
| III | Position- and dip-dependent amplitude | Curvelet domain |
\[ \widehat{\mathbf{F}} = \mathbf{M}_L^{-1}\;\mathbf{F}\;\mathbf{M}_R^{-1} \]
Each level addresses a different source of ill-conditioning.
The normal operator \(\mathbf{H}\) is a \((d-1)\)-order pseudodifferential operator (\(\Psi\)DO). In 2D image space, its leading-order behavior corresponds to the Laplacian \((-\Delta)\), or \(|\xi|^2\) in the Fourier domain.
Left preconditioner (Herrmann et al. 2009, Eq. 6):
\[ \mathbf{M}_L^{-1} := \partial_{|t|}^{-1/2} \;=\; \mathcal{F}^{*}\,|\omega|^{-1/2}\,\mathcal{F} \]
This half-order fractional time integration compensates for the order of the migration operator, whitening the wavenumber spectrum (cf. Claerbout and Nichols 1994; Symes 2008).
Correct for geometric spreading — reflected waves experience amplitude decay proportional to \(\sqrt{z}\) (in 2D) from source down to reflector and back.
Right preconditioner (Herrmann et al. 2009, Eq. 7):
\[ \mathbf{M}_R^{-1} = \mathbf{D}_z := \operatorname{diag}(\mathbf{z})^{1/2} \]
where \(z_i = i\,\Delta z\), with \(\Delta z\) the depth sample interval.
Combined with Level I, this accounts for the smooth, position-dependent amplitude variations, but still treats all dips equally at each location.
After left preconditioning, the Hessian becomes a zero-order \(\Psi\)DO — a non-stationary dip filter with smooth symbol \(a(x, \xi)\).
Key approximation (Herrmann, Moghaddam, and Stolk 2008; Herrmann et al. 2009, Eq. 9):
\[ \Psi\,\mathbf{r} \approx \mathbf{C}^{\top}\,\mathbf{D}_\Psi^2\,\mathbf{C}\,\mathbf{r}, \qquad \mathbf{D}_\Psi^2 := \operatorname{diag}(\mathbf{d}^2) \]
where \(\mathbf{C}\) is the curvelet transform and \(\mathbf{d}\) are estimated from a remigrated-image matched-filtering procedure.
The full right preconditioner (Eq. 10):
\[ \mathbf{M}_R^{-1} = \mathbf{D}_z\;\mathbf{C}^{\top}\;\mathbf{D}_\Psi^{-1} \]
The weights \(d_{j,l,k}\) (scale \(j\), angle \(l\), position \(k\)) capture the position- and dip-dependent illumination deficiencies. Cost: approximately one modeling + one migration.
Phase-space localization:
Curvelets obey parabolic scaling: width \(\sim\) length\(^{1/2}\)
Key properties for imaging:
\(\Rightarrow\) Curvelet-domain diagonal scaling is a far better approximation of \(\mathbf{H}^{-1}\) than any isotropic (e.g., Fourier or spatial) diagonal scaling.
The curvelet-domain preconditioning idea was later adopted by industry. Wang, Huang, and Wang (2018) proposed “curvelet-domain Hessian filters” (CHF) for preconditioned iterative LSRTM — essentially the same approach as Herrmann et al. (2009) — demonstrating faster convergence and fewer artifacts on both SEAM I synthetic and Gulf of Mexico field data.
Note
The CGG paper does not cite the original curvelet-based preconditioning work by Herrmann et al. (2009), despite using the same curvelet-domain diagonal approximation of the Hessian.
SEAM I synthetic study: (a) true reflectivity; (b) raw RTM; (c) conventional LSRTM (iteration 1); (d) CHF-preconditioned LSRTM (iteration 1); (e) conventional LSRTM (iteration 10); (f) CHF-preconditioned LSRTM (iteration 3) (Wang, Huang, and Wang 2018).
GOM field data: (a) raw RTM; (b) regular LSRTM (iteration 6); (c) CHF-preconditioned LSRTM (iteration 1, equivalent to single-iteration CHF); (d) CHF-preconditioned LSRTM (iteration 2) (Wang, Huang, and Wang 2018).
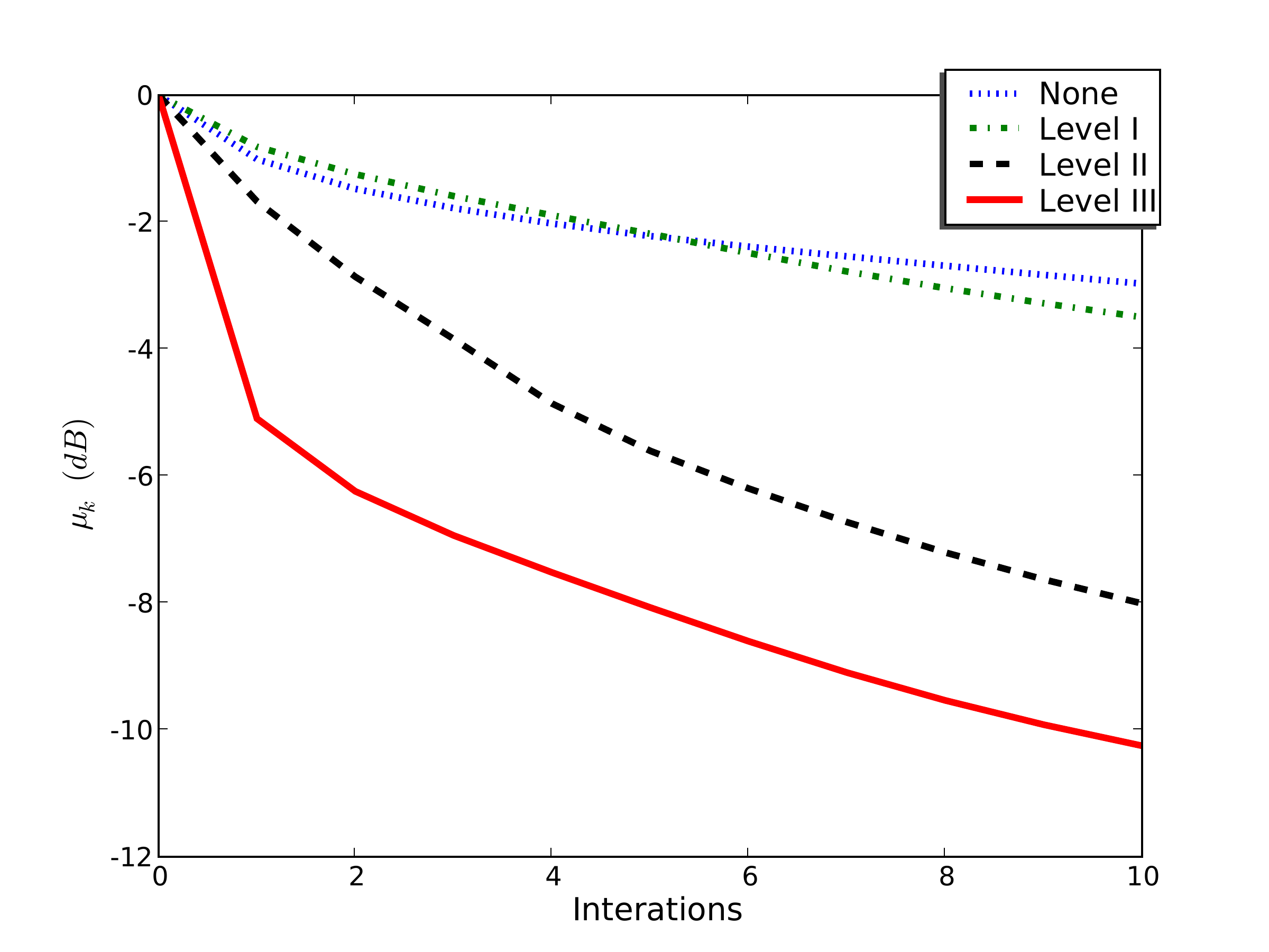
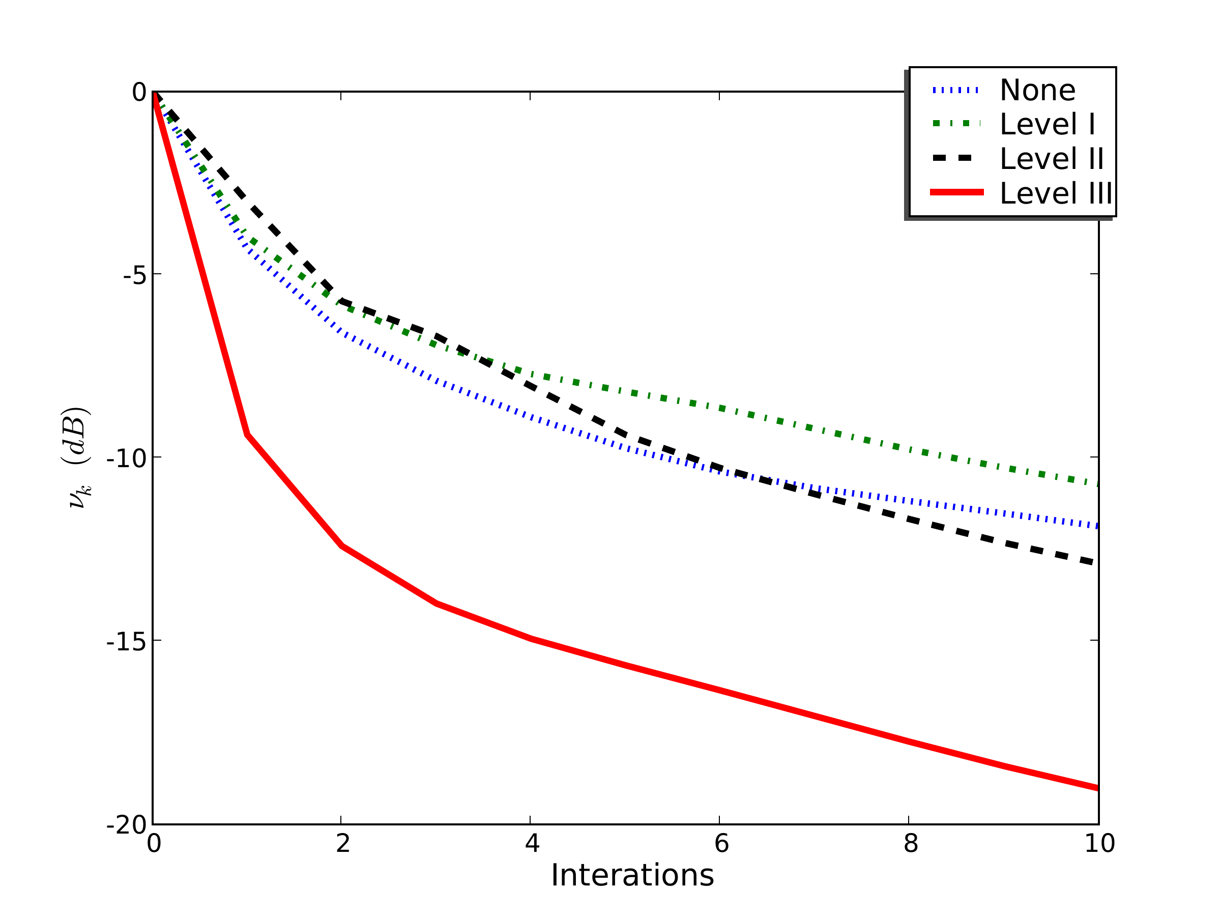
On the SEG/EAGE AA’ salt model (Herrmann et al. 2009):
| Preconditioning level | Iterations to converge |
|---|---|
| None | \(\sim\) 50+ |
| Level I (Fourier) | \(\sim\) 30 |
| Level I + II (+ depth) | \(\sim\) 15 |
| Level I + II + III (+ curvelet) | \(\sim\) 5–8 |


Dotted blue: no preconditioning; dash-dotted green: Level I; dashed black: Level II; solid red: Level III. Level II/III curves are offset by one iteration to account for the preconditioning overhead.



The migrated image suffers from deteriorated amplitudes, especially under the high-velocity salt and for steep reflectors and faults (Herrmann et al. 2009).



(a) Left preconditioning removes the imprint of the Laplacian, restoring low-frequency content. (b) Adding depth correction further improves amplitudes, but variations remain along the major horizontal reflector above 3500 m. (c) Curvelet-domain scaling provides additional position- and dip-dependent amplitude correction (Herrmann et al. 2009).
Beyond preconditioning, curvelet sparsity can serve as regularization:
\[ \min_{\mathbf{m}}\;\frac{1}{2}\|\mathbf{F}\mathbf{m} - \mathbf{d}\|_2^2 + \lambda\,\|\mathbf{C}\,\mathbf{m}\|_1 \]
The \(\ell_1\) penalty in the curvelet domain:
See also: Herrmann and Li (2012), Efficient least-squares imaging with sparsity promotion and compressive sensing, Geophys. Prosp.
Instead of iterating in data space, work directly in the image domain.
Start from the normal equations:
\[ \mathbf{m} = \mathbf{H}^{-1}\,\mathbf{m}_{\text{mig}} \]
If we can approximate \(\mathbf{H}^{-1}\) (or \(\mathbf{H}\)), we solve an image-domain deconvolution problem:
\[ \min_{\mathbf{m}} \;\frac{1}{2}\|\mathbf{H}\,\mathbf{m} - \mathbf{m}_{\text{mig}}\|_2^2 + \mathcal{R}(\mathbf{m}) \]
Advantage: no additional modeling/migration — just matrix–vector products with \(\mathbf{H}\) (or its approximation) in the image domain.
The full Hessian \(\mathbf{H} \in \mathbb{R}^{N \times N}\) where \(N\) = number of image points.
For a typical 3D survey: \(N \sim 10^8\)–\(10^{10}\)
Impractical to Form Explicitly
\(\mathbf{H}\) has \(N^2\) elements — storing it is impossible. We need structured approximations.
The simplest approach — assume \(\mathbf{H}\) is diagonal:
\[ H(\mathbf{x}, \mathbf{x}) \approx \sum_{s,r} A_s(\mathbf{x})\, A_r(\mathbf{x}) \]
where \(A_s, A_r\) are source/receiver amplitude functions.
Pros:
Cons:
Each column of \(\mathbf{H}\) is the point spread function (PSF) at that image point:
\[ \text{PSF}(\mathbf{x}, \mathbf{x}') = [\mathbf{F}^{\top}\mathbf{F}](\mathbf{x}, \mathbf{x}') \]
Compute PSFs on a coarse grid and interpolate:
Left: velocity model with a salt body and marked PSF sampling locations. Right: corresponding PSFs showing how resolution degrades near salt flanks and at depth.
Approximate the Hessian action as space-varying convolution:
\[ [\mathbf{H}\,\mathbf{m}](\mathbf{x}) \approx \int h(\mathbf{x}, \mathbf{x}')\, m(\mathbf{x}')\, d\mathbf{x}' \]
where \(h(\mathbf{x}, \mathbf{x}')\) is localized (banded).
Matching-filter approach (Aoki and Schuster 2009; Guo and Wang 2020):
Cost: one additional demigration/remigration cycle.
Gao, Matharu, and Sacchi (2020) factorize the Hessian as a superposition of Kronecker products:
\[ \mathbf{H} \approx \sum_{i=1}^{r} \mathbf{A}_i \otimes \mathbf{B}_i \]
where \(\mathbf{A}_i, \mathbf{B}_i\) are small matrices.
Building on the near-diagonality theorem, the Hessian in the curvelet domain can be approximated beyond a simple diagonal.
Diagonal approximation (Herrmann et al. 2009; Sanavi, Moghaddam, and Herrmann 2021):
\[ \mathbf{C}\,\mathbf{H}\,\mathbf{C}^{\top} \approx \operatorname{diag}(\boldsymbol{\sigma}) \]
Weights \(\boldsymbol{\sigma}\) estimated from demigration/remigration of curvelet atoms.
Banded/guided filter extension (Li et al. 2022):
Approximate \(\mathbf{H}^{-1}\) as a chain of simple operators in complementary domains:
\[ \mathbf{H}^{-1} \approx \mathbf{W}_{\text{space}} \cdot \mathbf{W}_{\text{freq}} \cdot \mathbf{W}_{\text{space}} \]
Greer and Fomel (2018): non-stationary amplitude + frequency matching
This is conceptually similar to the multi-level preconditioning of Herrmann et al. (2009), but formulated as a post-migration correction.
| Method | Cost | Resolution gain | Amplitude | Off-diagonal |
|---|---|---|---|---|
| Diagonal (illumination) | Negligible | No | Partial | No |
| PSF-based | Moderate | Yes (local) | Yes | Local |
| Non-stationary filters | 1 extra cycle | Yes | Yes | Banded |
| Kronecker | Sampling \(\mathbf{H}\) | Yes | Yes | Approximate |
| Curvelet diagonal | ~ extra cycle | Partial | Yes | Phase-space |
| Full DDLSM | \(K\) iterations | Yes | Yes | Exact |
Side-by-side comparison of the DDLSM iterative workflow (left) and the IDLSM direct approach (right).
Both DDLSM and IDLSM solve the same normal equations — they differ in how:
\[ \underbrace{\mathbf{F}^{\top}\mathbf{F}}_{\text{Hessian}}\;\mathbf{m} = \underbrace{\mathbf{F}^{\top}\mathbf{d}}_{\text{migrated image}} \]
| DDLSM | IDLSM | |
|---|---|---|
| Access to \(\mathbf{H}\) | Implicit (via \(\mathbf{F}, \mathbf{F}^{\top}\)) | Explicit approximation |
| Preconditioning | \(\mathbf{M}_L, \mathbf{M}_R\) speed up LSQR | \(\hat{\mathbf{H}}^{-1}\) applied directly |
| Sweet spot | Full survey, complex geology | Target zones, fast turnaround |
The curvelet framework provides a bridge — useful both as a preconditioner in DDLSM and as a Hessian approximation in IDLSM.