Quantitative Interpretation of Seismic Amplitudes
School of Earth & Atmospheric Sciences — Georgia Institute of Technology
2026-02-25

Felix J. Herrmann
School of Earth & Atmospheric Sciences — Georgia Institute of Technology
Slides are adapted from Eric Verschuur
Part I — Acoustic Reflection & Amplitudes
Part II — Linearized Acoustic Inversion
Part III — Elastic Wave Equation & Zoeppritz
Part IV — Linearized Convolutional Model
Part V — AVO/AVP Inversion Workflow
From a ray-theoretical point of view, three factors control the amplitudes of seismic waves:
Geometric spreading — wavefront divergence reduces amplitude with distance
Reflection and transmission coefficients — amplitude partitioning at interfaces, governed by contrast in elastic properties
Attenuation (damping) — energy loss due to absorption and scattering
Transport equation
These amplitude effects are described by the transport equation, the second-order term in the asymptotic ray expansion of the wave equation solution.
The asymptotic ray expansion of the wave equation solution \(u(\mathbf{x}, t) \approx A(\mathbf{x})\,f\!\bigl(t - T(\mathbf{x})\bigr)\) leads to two equations:
Eikonal equation (governs ray geometry — traveltimes):
\[ \boxed{|\nabla T|^2 = \frac{1}{c^2(\mathbf{x})}} \]
Transport equation (governs amplitudes along rays):
\[ \boxed{2\,\nabla T \cdot \nabla A + A\,\nabla^2 T = 0} \]
Note
The eikonal equation determines the traveltime field \(T(\mathbf{x})\) — ray paths are perpendicular to the wavefronts \(T = \text{const}\). The transport equation determines how the amplitude \(A(\mathbf{x})\) varies along these rays, accounting for geometric spreading.
Beyond the ray-theoretical amplitude factors, several wave-equation effects influence recorded amplitudes:
Note
These effects are not captured by the linearized convolutional model. Accounting for them requires full-waveform modeling or specialized corrections.
Consider a planar interface separating two acoustic media with densities \(\rho_1, \rho_2\) and velocities \(c_1, c_2\).
The normal-incidence reflection coefficient is:
\[ \boxed{R = \frac{\rho_2 c_2 - \rho_1 c_1}{\rho_2 c_2 + \rho_1 c_1} = \frac{Z_2 - Z_1}{Z_2 + Z_1}} \]
where the acoustic impedance is \(Z = \rho \, c\).
Tip
The reflection coefficient \(R\) depends only on the impedance contrast across the interface. It ranges from \(-1\) to \(+1\).
For small impedance contrasts (\(\Delta Z \ll \bar{Z}\)), we write \(Z_2 = \bar{Z} + \tfrac{1}{2}\Delta Z\) and \(Z_1 = \bar{Z} - \tfrac{1}{2}\Delta Z\), where \(\bar{Z} = \tfrac{1}{2}(Z_1 + Z_2)\):
\[ R = \frac{Z_2 - Z_1}{Z_2 + Z_1} = \frac{\Delta Z}{2\bar{Z}} \]
Since \(\Delta \ln Z \approx \Delta Z / \bar{Z}\) for small contrasts:
\[ \boxed{R \approx \frac{1}{2}\Delta \ln Z} \]
Two equivalent expressions for the linearized acoustic reflection coefficient:
The linearized reflection coefficient \(R \approx \frac{1}{2}\Delta\ln Z\) is a good approximation when:
Validity condition
The linearized approximation is the foundation of AVO inversion. Its validity depends on the media having small relative contrasts in density and velocity across interfaces.
The linear convolutional model represents a seismic trace as the convolution of a source wavelet \(w(t)\) with the earth’s reflectivity series:
\[ d(t) = w(t) * r(t) = \sum_i R_i \, a_i \, w(t - t_i) \]
where \(R_i\) is the reflection coefficient at the \(i\)-th interface, \(a_i\) accounts for propagation effects, and \(t_i\) is the two-way traveltime.
Key assumptions:
Using the linearized relation \(R_i \approx \frac{1}{2}\Delta\ln Z_i\), the reflectivity at each interface is the half-derivative of log-impedance:
\[ r_i = \frac{1}{2}\left(\ln Z_{i+1} - \ln Z_i\right) \]
In vector form with \(\mathbf{m} = \begin{pmatrix} \ln Z_1, \ln Z_2, \ldots, \ln Z_N \end{pmatrix}^\top\), we can write:
\[ \mathbf{r} = \frac{1}{2}\mathbf{D}\,\mathbf{m} \]
where \(\mathbf{D}\) is the first-difference matrix:
\[ \mathbf{D} = \begin{pmatrix} -1 & 1 & 0 & \cdots \\ 0 & -1 & 1 & \cdots \\ & & \ddots & \ddots \end{pmatrix} \]
The seismic trace is a convolution of the wavelet with reflectivity, represented as:
\[ \mathbf{d} = \mathbf{W}\,\mathbf{r} = \frac{1}{2}\mathbf{W}\,\mathbf{D}\,\mathbf{m} \]
where \(\mathbf{W}\) is the wavelet convolution matrix (Toeplitz), and \(\mathbf{D}\) is the first-difference matrix.
\[ \boxed{\mathbf{d} = \mathbf{A}\,\mathbf{m}, \quad \text{with} \quad \mathbf{A} = \tfrac{1}{2}\mathbf{W}\,\mathbf{D}} \]
Two key matrices
Together they express the linear relationship between recorded amplitudes and the acoustic medium properties (log-impedance).
Inverting \(\mathbf{d} = \mathbf{A}\,\mathbf{m}\) via least-squares:
\[ \hat{\mathbf{m}} = \left(\mathbf{A}^\top\mathbf{A}\right)^{-1}\mathbf{A}^\top\mathbf{d} \]
Challenges:
Approach: start with a low-frequency background model \(\mathbf{m}_0\) and solve for perturbations \(\delta\mathbf{m}\):

The low-frequency background comes from well logs or velocity analysis, and the band-limited perturbation is inverted from the seismic data.

Inverted P-impedance section over the Marlin Field, Gulf of Mexico.
Relate changes in the elastic properties to angle/offset/ray-parameter dependence of seismic amplitudes.
Introduce elastic reflection coefficients derived from imposing boundary conditions at solid-solid interfaces.
The most general linear elastic stress–strain relationship (generalized Hooke’s law) is:
\[ \tau_{ij} = c_{ijkl}\,\varepsilon_{kl} \]
where \(c_{ijkl}\) is the fourth-order elastic stiffness tensor with \(3^4 = 81\) components.
Symmetry reductions:
For an isotropic medium, symmetry under arbitrary rotation leaves only 2 independent parameters — the Lamé constants \(\lambda\) and \(\mu\):
\[ c_{ijkl} = \lambda\,\delta_{ij}\delta_{kl} + \mu\left(\delta_{ik}\delta_{jl} + \delta_{il}\delta_{jk}\right) \]
Substituting into \(\tau_{ij} = c_{ijkl}\,\varepsilon_{kl}\) gives Hooke’s law for isotropic media:
\[ \boxed{\tau_{ij} = \lambda\,\delta_{ij}\,\varepsilon_{kk} + 2\mu\,\varepsilon_{ij} = \lambda\,\delta_{ij}\,\nabla\cdot\mathbf{u} + \mu\left(\frac{\partial u_i}{\partial x_j} + \frac{\partial u_j}{\partial x_i}\right)} \]
Hooke’s law for isotropic elastic media relates stress \(\tau_{ij}\) to strain via the Lamé parameters \(\lambda\) and \(\mu\):
\[ \tau_{ij} = \lambda\,\delta_{ij}\,\nabla\cdot\mathbf{u} + \mu\left(\frac{\partial u_i}{\partial x_j} + \frac{\partial u_j}{\partial x_i}\right) \]
Combined with Newton’s second law \(\rho\,\partial^2 u_i / \partial t^2 = \nabla\cdot\boldsymbol{\tau}_i\), we obtain the elastic wave equation:
\[ \boxed{\rho\,\frac{\partial^2\mathbf{u}}{\partial t^2} = (\lambda + \mu)\,\nabla(\nabla\cdot\mathbf{u}) + \mu\,\nabla^2\mathbf{u}} \]
The elastic medium is characterized by density \(\rho(\mathbf{r})\), bulk modulus \(K(\mathbf{r})\), and shear modulus \(\mu(\mathbf{r})\).
Compressional (P-wave) velocity:
\[ \alpha = c_P = \sqrt{\frac{K + \frac{4}{3}\mu}{\rho}} = \sqrt{\frac{\lambda + 2\mu}{\rho}} \]

Shear (S-wave) velocity:
\[ \beta = c_S = \sqrt{\frac{\mu}{\rho}} \]

Taking the divergence of the elastic wave equation gives the P-wave equation:
\[ \rho\,\frac{\partial^2\vartheta}{\partial t^2} = (\lambda + 2\mu)\,\nabla^2\vartheta, \quad \vartheta \equiv \nabla\cdot\mathbf{u} \]
Taking the curl gives the S-wave equation:
\[ \rho\,\frac{\partial^2\boldsymbol{\xi}}{\partial t^2} = \mu\,\nabla^2\boldsymbol{\xi}, \quad \boldsymbol{\xi} \equiv \nabla\times\mathbf{u} \]
Key result
P-waves propagate with velocity \(c_P = \sqrt{(\lambda+2\mu)/\rho}\) and involve compressional motion. S-waves propagate with velocity \(c_S = \sqrt{\mu/\rho}\) and involve shear motion. Since \(\lambda + 2\mu > \mu\), we always have \(c_P > c_S\).
In the acoustic (fluid) case, impedance is defined as:
\[ Z_P = \rho\,\alpha \]
which governs normal-incidence P-wave reflections: \(R = (Z_{P,2} - Z_{P,1})/(Z_{P,2} + Z_{P,1})\).
In the elastic (solid) case, there is also a shear impedance:
\[ Z_S = \rho\,\beta \]
| Quantity | Symbol | Definition |
|---|---|---|
| P-impedance | \(Z_P\) | \(\rho\,\alpha\) |
| S-impedance | \(Z_S\) | \(\rho\,\beta\) |
| Impedance ratio | \(Z_S/Z_P\) | \(\beta/\alpha\) |
Note
At normal incidence, only \(Z_P\) matters. At oblique incidence, the reflection coefficients depend on both \(Z_P\) and \(Z_S\) — this is the physical basis for AVO analysis.
At an interface between two elastic layers, the boundary conditions require:
These boundary conditions, together with Snell’s law:
\[ \frac{\sin\theta_{P1}}{c_{P1}} = \frac{\sin\theta_{S1}}{c_{S1}} = \frac{\sin\theta_{P2}}{c_{P2}} = \frac{\sin\theta_{S2}}{c_{S2}} = p \quad \text{(ray parameter)} \]
lead to a system of equations coupling the amplitudes of all reflected and transmitted waves.

An incident P-wave at a solid-solid interface generates four waves:
All angles are related through Snell’s law via the common ray parameter \(p\).
Get information on the elastic properties rather than the locations of the reflectors alone.
Use information that reflection coefficients depend on the angle/ray-parameter (=offset).
Devise an inversion scheme and workflow to estimate fluctuations in the elastic properties.
For an interface between layers with \((\rho_1, c_{P1}, c_{S1})\) and \((\rho_2, c_{P2}, c_{S2})\), we have eight coefficients:
Reflection coefficients:
Transmission coefficients:
These coefficients are functions of angle of incidence (or ray parameter \(p\)) and the six medium parameters \(\rho_1, c_{P1}, c_{S1}, \rho_2, c_{P2}, c_{S2}\).
The exact expressions for \(R_{PP}\), \(R_{PS_V}\), \(T_{PP}\), \(T_{PS_V}\) (and similarly for S-wave incidence) in terms of \(\rho_1, \rho_2, \alpha_1, \alpha_2, \beta_1, \beta_2\) and angle of incidence are called the Zoeppritz equations (Zoeppritz 1919).
These equations express each reflection and transmission coefficient as a nonlinear function of \(\rho_1, \rho_2, \alpha_1, \alpha_2, \beta_1, \beta_2\) and the angle of incidence. For small contrasts across the interface, the Zoeppritz equations can be linearized in the logarithmic perturbations \(\Delta\ln\rho\), \(\Delta\ln\alpha\), and \(\Delta\ln\beta\).
For an incident P-wave, the four unknown amplitudes \(R_{PP}\), \(R_{PS}\), \(T_{PP}\), \(T_{PS}\) satisfy a \(4\times 4\) linear system derived from the boundary conditions:
\[ \begin{pmatrix} -\sin\theta_1 & -\cos\phi_1 & \sin\theta_2 & \cos\phi_2 \\ \cos\theta_1 & -\sin\phi_1 & \cos\theta_2 & -\sin\phi_2 \\ \sin 2\theta_1 & \frac{\beta_1}{\alpha_1}\cos 2\phi_1 & \frac{\rho_2\beta_2^2\alpha_1}{\rho_1\beta_1^2\alpha_2}\sin 2\theta_2 & \frac{\rho_2\beta_2\alpha_1}{\rho_1\beta_1^2}\cos 2\phi_2 \\ -\cos 2\phi_1 & \frac{\beta_1}{\alpha_1}\sin 2\phi_1 & \frac{\rho_2\alpha_1}{\rho_1\alpha_2}\cos 2\phi_2 & -\frac{\rho_2\beta_2\alpha_1}{\rho_1\alpha_2\beta_1}\sin 2\phi_2 \end{pmatrix} \begin{pmatrix} R_{PP} \\ R_{PS} \\ T_{PP} \\ T_{PS} \end{pmatrix} = \begin{pmatrix} \sin\theta_1 \\ \cos\theta_1 \\ -\sin 2\theta_1 \\ \cos 2\phi_1 \end{pmatrix} \]
where the angles follow from Snell’s law: \(\sin\theta_1/\alpha_1 = \sin\phi_1/\beta_1 = \sin\theta_2/\alpha_2 = \sin\phi_2/\beta_2 = p\).
Note
The Zoeppritz equations are exact but nonlinear in the medium parameters (through the angle dependencies). Direct inversion is impractical — hence the need for linearization.
For small contrasts, the Zoeppritz equations can be linearized in \(\Delta\ln\rho\), \(\Delta\ln\alpha\), and \(\Delta\ln\beta\) (Aki and Richards 1980, 2002).
For contrasts of order \(\delta \ll 1\), at non-zero, pre-critical angles:
\[ \begin{aligned} R_{PP} &= O(\delta), \quad R_{PS_V} = O(\delta), \quad T_{PP} = O(1), \quad T_{PS_V} = O(\delta) \\ R_{S_VS_V} &= O(\delta), \quad R_{S_VP} = O(\delta), \quad T_{S_VS_V} = O(1), \quad T_{S_VP} = O(\delta) \end{aligned} \]
Key observation
In reflection recordings over low-contrast media, the leading amplitudes are \(O(\delta)\). These arrivals have been reflected only once and have not been mode-converted on transmission. Mode conversion may occur upon reflection (\(R_{PS}\), \(R_{SP}\)).
For small contrasts \(\Delta\ln\rho\), \(\Delta\ln\alpha\), \(\Delta\ln\beta\) and using \(\gamma = \beta_0/\alpha_0\), the linearized reflection coefficients are (Aki and Richards 1980, 2002):
P-to-P reflection (\(R_{PP}\)):
\[ R_{PP}(p) = \frac{1}{2}\left(1 - 4\beta_0^2 p^2\right)\Delta\ln\rho + \frac{1}{2\left(1 - \alpha_0^2 p^2\right)}\Delta\ln\alpha - 4\beta_0^2 p^2\,\Delta\ln\beta \]
P-to-SV reflection (\(R_{PS}\)):
\[ R_{PS}(p) = -\frac{p\,\alpha_0}{2\cos\phi}\left[\left(1 - 2\beta_0^2 p^2 + 2\beta_0^2\frac{p\cos\theta}{\alpha_0}\frac{p\cos\phi}{\beta_0}\right)\Delta\ln\rho + \frac{4\beta_0^2 p^2\cos\theta\cos\phi}{\alpha_0\beta_0\,p^2}\,\Delta\ln\alpha + \left(1 - 2\beta_0^2 p^2 + 2\frac{\beta_0\cos\phi}{\alpha_0\cos\theta}\right)\Delta\ln\beta\right] \]
where \(\cos\theta = \sqrt{1 - \alpha_0^2 p^2}\) and \(\cos\phi = \sqrt{1 - \beta_0^2 p^2}\).
SV-to-SV reflection (\(R_{SS}\)):
\[ R_{SS}(p) = -\frac{1}{2}\left(1 - 4\beta_0^2 p^2\right)\Delta\ln\rho + 4\beta_0^2 p^2\,\Delta\ln\alpha + \frac{1}{2}\frac{1}{1 - \beta_0^2 p^2}\Delta\ln\beta \]
Note
For AVO inversion, the PP reflection is most commonly used because P-wave sources and receivers dominate exploration seismology. The other modes are important for multicomponent (ocean-bottom) data.
In the linearized model, traveltimes \(t_i\) are computed in a background medium with slowly varying properties \(\rho_0(z)\), \(\alpha_0(z)\), \(\beta_0(z)\).
Requirements for the background medium:

Using the plane-wave decomposition, the linearized data model in the \(\tau\)-\(p\) domain is:
\[ \hat{s}(p;\tau) = \sum_i R_i(p)\,w\!\left[\tau - t_i(p)\right] \]
where \(p = \sin\theta / \alpha_0\) is the horizontal ray parameter and \(t_i(p) = \int_0^{z_i} \frac{\sqrt{1 - p^2\alpha_0^2}}{\alpha_0}\,dz\).
The linearized P-to-P reflection coefficient (Aki–Richards approximation, (Aki and Richards 2002; Shuey 1985)) is:
\[ \boxed{R_{PP}(p) = \frac{1}{2}\left(1 - 4\beta_0^2 p^2\right)\Delta\ln\rho + \frac{1}{2}\frac{1}{1 - \alpha_0^2 p^2}\Delta\ln\alpha - 4\beta_0^2 p^2\,\Delta\ln\beta} \]
The property contrasts across the \(i\)-th interface are: \(\Delta\ln\rho_i\), \(\Delta\ln\alpha_i\), and \(\Delta\ln\beta_i\).
At the \(i\)-th interface, the linearized \(R_{PP}\) is a linear combination of three contrasts. Writing this as a matrix–vector product:
\[ R_{PP}^{(i)}(p) = \underbrace{\begin{pmatrix} \tfrac{1}{2}(1 - 4\beta_0^2 p^2) & \tfrac{1}{2(1 - \alpha_0^2 p^2)} & -4\beta_0^2 p^2 \end{pmatrix}}_{\text{row of } \mathbf{M}(p)} \begin{pmatrix} \Delta\ln\rho_i \\ \Delta\ln\alpha_i \\ \Delta\ln\beta_i \end{pmatrix} \]
At normal incidence (\(p = 0\)), the matrix reduces to:
\[ \mathbf{M}(0) = \begin{pmatrix} \tfrac{1}{2} & \tfrac{1}{2} & 0 \end{pmatrix} \quad \Rightarrow \quad R_{PP}^{(i)}(0) = \tfrac{1}{2}\bigl(\Delta\ln\rho_i + \Delta\ln\alpha_i\bigr) = \tfrac{1}{2}\Delta\ln Z_P \]
recovering the acoustic result. The shear contribution enters only at oblique incidence (\(p > 0\)).
Note
The matrix \(\mathbf{M}(p)\) encodes the sensitivity of the reflection coefficient to each elastic parameter. At normal incidence only \(\rho\) and \(\alpha\) contribute; at oblique incidence all three parameters are needed.
The Aki–Richards formula can be reparameterized using P-impedance \(Z_P = \rho\alpha\) and S-impedance \(Z_S = \rho\beta\). Substituting \(\Delta\ln\alpha = \Delta\ln Z_P - \Delta\ln\rho\) and \(\Delta\ln\beta = \Delta\ln Z_S - \Delta\ln\rho\) into the \((\rho,\alpha,\beta)\) form:
\[ \boxed{R_{PP}(p) = \frac{1}{2(1 - \alpha_0^2 p^2)}\,\Delta\ln Z_P \;-\; 4\beta_0^2 p^2\,\Delta\ln Z_S \;+\; \left(2\beta_0^2 p^2 - \frac{\alpha_0^2 p^2}{2(1 - \alpha_0^2 p^2)}\right)\Delta\ln\rho} \]
Comparison at normal incidence (\(p = 0\)):
| Parameterization | \(\mathbf{M}(0)\) | Interpretation |
|---|---|---|
| \((\rho, \alpha, \beta)\) | \(\bigl(\tfrac{1}{2},\;\tfrac{1}{2},\;0\bigr)\) | Both \(\rho\) and \(\alpha\) contribute |
| \((Z_P, Z_S, \rho)\) | \(\bigl(\tfrac{1}{2},\;0,\;0\bigr)\) | Only \(Z_P\) contributes |
Angle-independent contribution
In the impedance parameterization, the normal-incidence reflection depends only on \(\Delta\ln Z_P\) — the S-impedance and density contrasts enter only at oblique incidence (\(p > 0\)). This separation is the physical basis for intercept–gradient (AVO) analysis: the intercept is \(\frac{1}{2}\Delta\ln Z_P\) and the gradient reveals \(Z_S\) and \(\rho\) contrasts.
For each ray parameter \(p_j\) (\(j = 1, \ldots, N_p\)), the data at the \(i\)-th interface is:
\[ \hat{s}(p_j; \tau) = \sum_i R_{PP}^{(i)}(p_j)\,w(\tau - t_i) = \sum_i \mathbf{M}(p_j)\begin{pmatrix} \Delta\ln\rho_i \\ \Delta\ln\alpha_i \\ \Delta\ln\beta_i \end{pmatrix} w(\tau - t_i) \]
In matrix form for all ray parameters and interfaces:
\[ \boxed{\hat{\mathbf{s}} = \mathbf{M}\,\mathbf{m}} \]
where:
The \(\tau\)-\(p\) data model from the previous section relates the Radon-domain amplitudes to the linearized reflection coefficients:
\[ \hat{s}(p;\tau) = \sum_i R_i(p)\,w[\tau - t_i(p)] \]
where \(R_{PP}(p)\) is the Aki–Richards linearized P-to-P reflection coefficient — a linear combination of \(\Delta\ln\rho\), \(\Delta\ln\alpha\), and \(\Delta\ln\beta\) with \(p\)-dependent weights.
The plane-wave decomposition via the linear Radon transform provides the data in the required \(\tau\)-\(p\) domain.
Links recorded amplitudes directly to subsurface property contrasts.
The linear Radon transform (\(\tau\)-\(p\) transform) maps data from the \(x\)-\(t\) domain to the \(\tau\)-\(p\) domain:
\[ m(p, \tau) = \int_{-\infty}^{+\infty} d(x, t = \tau + px)\,dx \]


One point in the Radon domain \(m(p,\tau)\) is obtained by stacking the input data along a straight line \(t = \tau + px\).
The AVP inversion workflow involves three stages:
Back-propagation — surface data \(\rightarrow\) virtual source/receiver records at depth: \(\;d(x,t) \rightarrow d_{\text{virtual}}(x,t;z)\)
Radon transform + imaging — form \(\tau\)-\(p\) gathers at each image point: \(\;d_{\text{virtual}} \rightarrow \hat{s}(p,\tau)\)
AVP inversion — invert \(\tau\)-\(p\) amplitudes for property contrasts: \(\;\hat{s} \rightarrow \Delta\ln\rho,\;\Delta\ln\alpha,\;\Delta\ln\beta\)
After back-propagation and Radon transform, the focused amplitudes approximate the plane-wave reflection coefficient:



Note
After back-propagation, the focused point in \(x\)-\(t\) maps to a focused point in \(\tau\)-\(p\), where the amplitudes approximate the reflection coefficients \(R_i(p)\) convolved with a stretched wavelet (Wijngaarden 1998).
After Wijngaarden (1998)
Given the forward model \(\hat{\mathbf{s}} = \mathbf{M}\,\mathbf{x}\), the least-squares solution is:
\[ \hat{\mathbf{m}} = \left(\mathbf{M}^\top\mathbf{M}\right)^{-1}\mathbf{M}^\top\hat{\mathbf{s}} \]
where \(\mathbf{m} = (\Delta\ln\rho,\;\Delta\ln\alpha,\;\Delta\ln\beta)^\top\) stacked over all \(N_z\) depth points.
The system has \(3N_z\) unknowns (\(\Delta\ln\rho\), \(\Delta\ln\alpha\), \(\Delta\ln\beta\) at each of \(N_z\) depth points) and \(N_p \times N_z\) data samples.
Left: after migration and Radon. Right: inverted contrasts
For damped least-squares inversion, we add a regularization term:
\[ \boxed{\hat{\mathbf{x}} = \left(\mathbf{M}^\top\mathbf{M} + \boldsymbol{\varepsilon}\right)^{-1}\mathbf{M}^\top\hat{\mathbf{s}}} \]
where \(\boldsymbol{\varepsilon} = \text{diag}(\varepsilon_\rho\,\mathbf{I}_{N_z},\; \varepsilon_\alpha\,\mathbf{I}_{N_z},\; \varepsilon_\beta\,\mathbf{I}_{N_z})\).
Why is damping needed?
For large systems, the inversion result depends strongly on the damping applied. Different damping for \(\rho\), \(\alpha\), \(\beta\) reflects our different confidence in estimating each parameter. Density is typically the hardest to resolve.
With a pre-conditioner \(\mathbf{P}\) that normalizes the columns of \(\mathbf{M}\):
\[ \hat{\mathbf{x}} = \left(\mathbf{P}\,\mathbf{M}^\top\mathbf{M} + \boldsymbol{\varepsilon}\right)^{-1}\mathbf{P}\,\mathbf{M}^\top\hat{\mathbf{s}} \]
Here \(\mathbf{P}\,\mathbf{M}^\top\mathbf{M}\) is a correlation-like matrix with ones on the diagonal, ensuring balanced sensitivity across the three parameter classes.
Note
Pre-conditioning prevents parameters with larger sensitivity (e.g., \(\alpha\)) from dominating the inversion at the expense of less-sensitive parameters (e.g., \(\rho\)).
The inversion yields contrasts \(\Delta\ln\rho_i\), \(\Delta\ln\alpha_i\), \(\Delta\ln\beta_i\) at each interface. To obtain absolute property values, we accumulate contrasts on top of the background model:
\[ \ln\rho(z) = \ln\rho_0(z) + \sum_i \Delta\ln\rho_i \]
\[ \ln\alpha(z) = \ln\alpha_0(z) + \sum_i \Delta\ln\alpha_i, \quad \ln\beta(z) = \ln\beta_0(z) + \sum_i \Delta\ln\beta_i \]
Note
The quality of the absolute property estimate depends critically on the accuracy of the background model \(\rho_0(z)\), \(\alpha_0(z)\), \(\beta_0(z)\).

Horizontally layered model with smooth curves representing the background model.
. . .
Time-domain

Imaged domain

Band-limited result

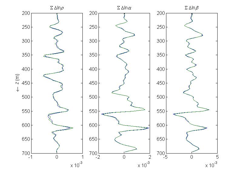
Predicted (green) vs. actual (blue) band-limited log properties. Spatial band-limitation is derived from the source wavelet.
Broadband result

Adding band-limited predictions to background values. Note discrepancies due to the spectral gap.

With linear imaging we cannot bridge the spectral gap between:
. . .
The gap arises because the seismic wavelet has no energy at very low frequencies.
. . .
Important
Only nonlinear inversion (e.g., with a sparseness constraint) or additional information (well logs) can bridge this gap.

Low-contrast model (0.01\(\times\) real contrasts) with \(\rho\), \(v_P\), \(v_S\) vs. depth. Smooth red curves show the background model.

\(\tau\)-\(p\) Radon-domain data for the low-contrast model, showing the amplitude-versus-ray-parameter variation.

For very low contrasts (0.01\(\times\) real), the linearized inversion performs excellently — validating the method.

Even with near-perfect linear inversion, the spectral gap still causes discrepancies in the broadband result.

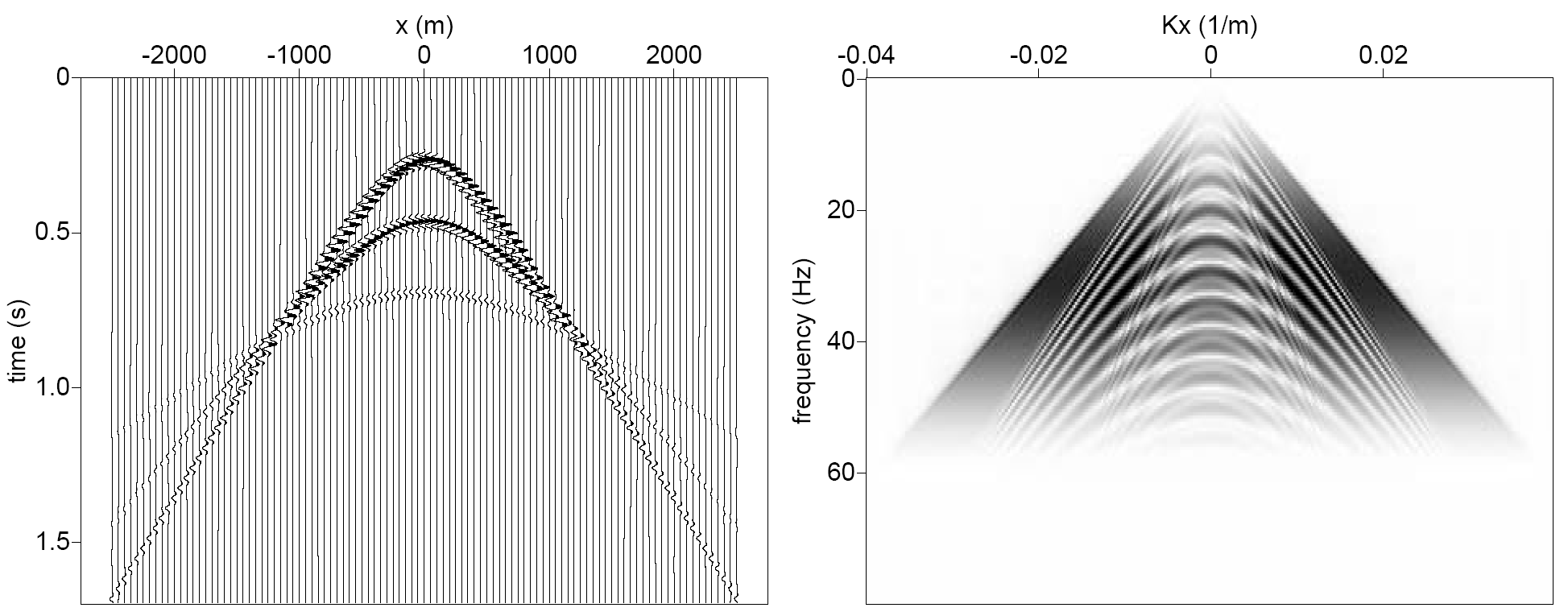
Input processed surface shot record and stacked section.

Linear elastic inversion results of redatumed data at top of target interval. (MSc thesis work by Xander Staal)
The complete workflow for linearized AVO/AVP inversion:
Acoustic foundations:
Elastic theory:
AVP inversion:
This lecture was prepared with the assistance of Claude (Anthropic) and validated by Felix J. Herrmann.
This work is licensed under a Creative Commons Attribution-NonCommercial-ShareAlike 4.0 International License.
